Original Article - Year 2024 - Volume 39 -
                        Complications related to the use of polymethyl methacrylate on the face: Analysis of 209 cases
                    
                    Complicações relacionadas ao uso de polimetilmetacrilato na face: Análise de 209 casos
ABSTRACT
Introduction: Polymethylmethacrylate is a permanent filler product. Injecting this material into the face can lead to complications. The objective of this study is to determine in a series of cases the median time for complications to occur, the most affected areas, the types of complications, and the treatments most performed.
Method: 209 cases of patients with complications related to the use of polymethyl methacrylate on the face who sought treatment between the period of January 2000 and June 2021 were studied. The data analyzed were gender, age, number of injections, moment of application, interval time until the complication arises, type of complication, affected region, and treatment performed.
Results: The average age of patients was 45 years (23 to 79 years). Of these, 172 were women and 37 men. The number of applications ranged from 1 to 5. The median time for complications to appear was 71 months. The most affected regions were the malar, in 102 patients; mandibular, in 100; and zygomatic, in 91. Granuloma was observed in 135 patients; edema, in 120; and inflammation, in 78. The most common treatment was corticosteroid injection, in 111 patients, followed by surgical removal, in 40.
Conclusion: The results can serve as a knowledge base for a better understanding of complications with the use of polymethylmethacrylate in the face. 
Keywords: Polymethyl methacrylate; Foreign-body reaction; Long term adverse effects; Dermal fillers; Granuloma, foreign-body
RESUMO
 Introdução: O polimetilmetacrilato é um produto de preenchimento permanente. A injeção deste material na face pode levar a complicações. O objetivo deste estudo é determinar em uma série de casos o tempo mediano de ocorrência de complicações, as áreas mais comprometidas, os tipos de complicações e tratamentos mais realizados.
Método: Foram estudados 209 casos de pacientes portadores de complicações relacionadas ao uso de polimetilmetacrilato na face que buscaram tratamento entre o período de janeiro de 2000 a junho de 2021. Os dados analisados foram sexo, idade, número de injeções, momento da aplicação, intervalo de tempo até surgir a complicação, tipo de complicação, região comprometida e tratamento realizado.
Resultados: A idade média dos pacientes foi de 45 anos (23 a 79 anos). Destes, 172 eram mulheres e 37 homens. O número de aplicações variou de 1 a 5. O tempo mediano de surgimento de complicações foi de 71 meses. As regiões mais comprometidas foram a malar, em 102 pacientes; mandibular, em 100; e zigomática, em 91. Granuloma foi observado em 135 pacientes; edema, em 120; e inflamação, em 78. O tratamento mais realizado foi a injeção de corticoide, em 111 pacientes, seguido de remoção cirúrgica, em 40.
Conclusão: Os resultados podem servir como base de conhecimento para uma melhor compreensão das complicações com o uso de polimetilmetacrilato na face.
  
Palavras-chave: Polimetil metacrilato; Reação a corpo estranho; Efeitos adversos de longa duração; Preenchedores dérmicos; Granuloma de corpo estranho
INTRODUCTION
Polymethylmethacrylate (PMMA) is a permanent filler material (PP), consisting of small spheres suspended in different vehicles such as hyaluronic acid, ascorbic acid, bovine collagen, polyethylene glycol and magnesium carboxygluconate hydrolactic acid. Its use on the face, like any other filler, can lead to complications. The growing demand for non-surgical procedures for rejuvenation, stimulating collagen formation, and increasing facial volume, including the injection of this product, has brought with it an increase in cases of complications. The diagnosis of complications related to this material is normally clinical, obtained through the patient’s history and evaluation and imaging tests such as ultrasound, magnetic resonance imaging, and computed tomography1.
Complications related to the use of PMMA on the face can occur immediately, early, late, or many years after its initial application. The main complications are represented by the formation of granulomas due to a foreign body or nodules, leading to deformities, inflammatory reaction, infection, intermittent edema, pigmentation, neovascularization, functional limitation or deformity of structures such as the mouth or eyelids, tearing, fistulas, blindness, and necrosis, among others2.
Although most of the medical literature addresses the different complications and their treatments, there are few studies showing the relationship between these problems and variables such as gender, age group, number of product applications, and the relationship between these variables and the time before complications appear. This fact shows the lack of a broader understanding regarding complications and other factors that lead to a better understanding, prevention, and treatment of these problems.
The moment of emergence, anatomical region, and type of manifestation remain little known and unpredictable. It is not uncommon for patients to experience problems many years after the initial injection. Thus, multiple factors will determine the most appropriate therapy or set of therapies for each case.
The main treatments proposed for complications related to PMMA injection into the face are the application of medication and surgical approach. Intralesional corticosteroid injection is the most commonly used resource. Most reports of complications related to PP are based on retrospective studies, reports, or case series. This leads to very variable estimates of complications. Granuloma formation is one of the most reported in the medical literature3.
OBJECTIVE
We carried out a retrospective case series study of patients with pre-established complications related to the application of PMMA to the face. Two hundred and nine patients were evaluated. The main objective was to determine the median time for complications to occur. The secondary objectives were to identify the most compromised areas, the types of complications, and the treatments most performed. Furthermore, it was determined whether the number of applications was related to the earliest onset of complications, whether there was a difference in the time of occurrence of complications according to gender, and whether there was a difference in the time of occurrence of complications according to age group.
METHOD
In a retrospective case series review, 209 individuals with complications after PMMA injection in the face and who sought treatment in the corresponding author’s private practice from January 2000 to June 2021 were reviewed. The electronic medical records were searched using the “Personal Med (TOTVS)” database software for the following keywords: PMMA, polimetilmetacrilato, Artecoll, Metacril, Bioplastia, Biossimetric, Metacrilato, Newplastic, Artefill, LinneaFace, Bioplastia, Arteplast, Bellafill. From then on, only patients who had any complications were included in the study.
The exclusion criteria were: individuals whose medical records had one or more of these keywords, but the cause of the consultation was not related to the complication resulting from the previous application of PMMA. Patients were also excluded from the study if their clinical history was unclear as to whether the product actually applied was PMMA, if they had applied at least more than one product, or when the material was injected by non-physicians.
Complications were diagnosed through clinical history, imaging tests such as ultrasound, computed tomography or magnetic resonance imaging, photographic and histological analysis, and clinical examination. Based on the date of the initial application and the moment the complication appeared, the time elapsed until the complication appeared was calculated.
The following information was collected in the review: sex, age, number of PMMA injections performed on the patient when the application was performed, time interval until the complication appeared, type of complication, the region affected by the complication, and treatment performed. Gaussian quantitative data were described by mean and standard deviation. In breaking distributional assumptions, we opted for median and percentiles. Categorical data were expressed as counts and percentages. To describe the occurrence of events over time, Kaplan-Meier curves were created with a comparison between groups using the log-rank test.
The groups were separated by sex and age range of up to 50 years and over 50 years. Values of p<0.05 were considered statistically significant. Data analysis was performed using the IBM-SPSS version 25.0 program. As this is a descriptive study, a sample size was not calculated to test hypotheses. 209 individuals who met all inclusion criteria were included. This study was approved by the PUCRS Research Ethics Committee, under number CAAE 26778719.3.0000.5336, and approval opinion number 3,786,448.
RESULTS
The mean age was (±SD) of 44.6 (±12.2) years. The median was 43. The youngest individual was 23 years old and the oldest was 79 years old. Of these, 172 were women (82.3%) and 37 men (17.7%) (Figure 1).
The median time for complications to appear after the initial application of PMMA to the face was 71 months, with an interquartile range of 23 to 132. The minimum and maximum times for complications to appear were 1 and 330 months (Figure 2).
The malar and mandibular regions were most affected by complications, followed by the zygomatic region. Approximately half of the patients had complications in the malar (48.8%) or mandibular (47.8%) region. The zygomatic region appeared as the third area most affected by complications (43.5%) (Table 1).
| Compromised area | Number of patients and frequency | 
|---|---|
| Malar | 102 (48.8%) | 
| Mandibular | 100 (47.8%) | 
| Zygomatic | 91 (43.5%) | 
| Chin | 58 (27.8%) | 
| Lip | 57 (27.3%) | 
| Nasolabial fold | 46 (22%) | 
| Nose | 21 (10%) | 
| Eyelid | 18 (8.6%) | 
| Glabella | 18 (8.6%) | 
| Temporal | 15 (7.2%) | 
| Front | 4 (1.9%) | 
| Ear | 2 (1%) | 
In the studied population, 501 complications were found distributed across various areas of the face. The most frequent complication was granuloma, followed by edema and inflammation (Table 2). If we only take into account the type of complication, granuloma was the most common, observed in 135 (64.4%) patients in the population evaluated. On the other hand, considering the total or absolute number of 501 complications, granulomas represented 26.9%. Complications compromised one or more anatomical regions of the face. They were present in isolation or associated with other complications (Table 3). Most patients had only one type of complication, a fact observed in 84 (40.1%) patients.
| Type of complication | Number of patients and frequency | 
|---|---|
| Granuloma | 135 (64.6%) | 
| Edema | 120 (57.4%) | 
| Inflammation | 78 (37.3%) | 
| Function | 42 (20.1%) | 
| Nodule | 40 (19.1%) | 
| Neovascularization | 40 (19.1%) | 
| Pigmentation | 12 (5.7%) | 
| Tearing | 12 (5.7%) | 
| Infection | 12 (5.7%) | 
| Necrosis | 6 (2.9%) | 
| Fistula | 4 (1.9%) | 
| No. of patients | Number of complications | 
|---|---|
| 84 (40.1%) | 1 | 
| 51 (24.1%) | 2 | 
| 31 (14.8%) | 3 | 
| 21 (10.0%) | 4 | 
| 10 (4.7%) | 5 | 
| 5 (2.3%) | 6 | 
| 7 (3.3%) | 7 or more | 
To evaluate the relationship between the number of PMMA injections in the face and the appearance of complications, the log-rank test was used to compare the groups. The number of applications ranged from 1 to 5. The p-value of the log-rank test (p = 0.73) was not statistically significant, showing no relationship between the variables’ number of PMMA applications and the emergence of complications (Figure 3).
Of the population evaluated, 82.3% were women. No difference was found between men and women in the time to occurrence of complications (p = 0.27) (Figure 4).
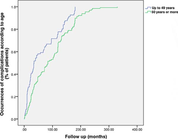
Patients under 50 years of age had earlier manifestations of complications than those over 50 years of age (p<0.001) (Figure 5).
The treatment carried out by more than half of the population evaluated (111 patients, 53.1%) was the injection of corticosteroids in the area compromised by the complication. The second most used resource in an attempt to treat complications was surgical removal, performed in 40 (19.1%) of the patients (Table 4).
| Type of treatment | Number of patients and frequency | 
|---|---|
| Corticosteroid injetable | 111 (53.1%) | 
| Surgery | 40 (19.1%) | 
| 5-fluorouracil | 23 (11%) | 
| Ozone | 23 (11%) | 
| Aspiration | 14 (6.7%) | 
| Intraoral bichectomy | 13 (6.2%) | 
| Xylitol | 8 (3.8%) | 
| Allopurinol | 3 (1.4%) | 
| Laser | 2 (1%) | 
DISCUSSION
Applying PMMA as PP to the face may present unwanted results and complications. The population assessed already had previous injections of PMMA as a predictor variable and already established complications related to this material in at least one area of the face.
The diagnosis of complications related to PMMA injection into the face must follow established evaluation and diagnostic criteria. The differentiation between nodules and granuloma formation due to a foreign body is evidenced mainly in the anatomopathological evaluation. From a clinical point of view, this differential diagnosis between nodules and granulomas is fundamental, as it allows for a more specific and appropriate therapeutic approach to each case.
Generally, the nodules tend to appear soon after the application of PMMA and may disappear after the edema subsides. They appear as single or solitary nodules, usually on the lips, measuring a few millimeters. Normally, the nodules are related to a technical application error such as an injection that is too superficial or too much product. On the other hand, granulomas usually appear suddenly, generally between 6 and 24 months after their injection. Granulomatous lesions are evident at the same time in all areas where this product was applied and not just in one region4, 5.
Our study highlights the evaluation of individuals with complications that arose many years after the initial injection, 14 of these 20 years or more, and its importance in identifying the primary and secondary outcomes. Another relevant factor concerning the follow-up period is the fact that these patients underwent their initial treatment with different doctors.
Therefore, unlike most publications, which show the personal experience of a single author or even a small group of doctors in the application and management of complications with PMMA, the patients included in this study portrayed complications arising from several professionals. Most likely, this universe of doctors has a different degree of experience in relation to the application method, safety, anatomical knowledge, and possible complications at an undetermined time with this material.
The median time of 71 months with an interquartile range of 23 to 132 months found in the study is longer than practically all studies published to date. Many appeared early, others quite late, highlighting the lack of predictability when the complication occurred. The incidence of granulomas was present in most patients. This late complication coincides with reports in the literature after PMMA injection2, 6.
Granulomas were the most frequent complications, diagnosed in 135 (64.6%) patients. Edema, inflammation, functional changes, nodule formation, and neovascularization represented other frequent types of complications related to the use of PMMA on the face. The three most affected regions were the malar, mandibular, and zygomatic regions. This distribution of complications according to the area of occurrence on the face coincided with most reports in the literature7. Although it was not evaluated in the study, the amount of PMMA injected into each patient or each anatomical region separately could be related to the greater occurrence of complications in these three areas8.
Factors related to the late appearance of granulomas, such as the presence of biofilm, quality, and characteristics of the injected material, and systemic, autoimmune or hormonal manifestations were not evaluated.
The study showed an average time for complications to appear of 71 months, practically 6 years after the initial injection of PMMA into the face. The latest complication occurred after 330 months. Most publications in the medical literature show the emergence of complications at an earlier period6, 9.
The number of times PMMA was injected was not related to the appearance of the complications described. The fact that an individual has been subjected to more than one injection of the product at different times does not necessarily mean that a greater quantity of it has been used, another factor that could be associated with complications. The design of this retrospective study, however, did not include data on injected volume in the studied population.
Women represented the majority of individuals studied (172 cases, 82.3%). When evaluating the moment of occurrence between the sexes, however, there was no significant difference in the time of occurrence when compared to men. The population under 50 years of age presented complications earlier than those over 50 years of age. Despite the hypothesis that this group of younger individuals may have a more active immune system and reaction, factors related to this statistical difference that would justify this finding were not evaluated.
The study demonstrated that the use of injectable corticosteroids is the most frequent treatment. This finding coincides with most of the literature10, 11. Although local injection of corticosteroids presents risks such as atrophy of subcutaneous cellular tissue, changes in skin pigmentation, and neoformation of vessels, the apparent simplicity of this resource, its low cost, and, sometimes, rapid action, probably justify the option for it, making -the most frequent in the attempt to control complications. The approach to granulomas represents a late complication that is difficult to manage.
Surgical removal usually reduces the inflammatory aspect and other symptoms related to the presence of biofilm2, 12. In our study, surgery represented the second most used resource in the treatment of complications. Although often resolving, this approach is not free from risks and complications due to the rich and complex anatomy of the face and the possible changes produced by the material such as fibrosis, irregularities, or granulomas related to PMMA. However, this aspect is little reported in the literature.
The use of laser in the treatment of PMMA-related complications was used in our case series study in only 2 patients. Factors such as still scarce and recent publications, lack of knowledge about laser technology and its application in medicine still limited to a few medical specialties, availability generally restricted to large urban centers, combined with the high cost of equipment, are possibly related to this small number of patients undergoing the laser treatment13, 14, 15, 16, 17.
Although not included in this study, variables such as smoking, testing of inflammatory biomarkers and antibodies showing immunological impairment or interaction for certain complications, or even post-COVID reactions could clarify other factors potentially related to unwanted effects with PMMA18, 19. Furthermore, the presence of biofilm, clinical, inflammatory, or infectious complications, the quality of the material, or the expertise of the injecting physician could also be related to complications.
CONCLUSION
The study showed important data regarding incidence, time of onset, compromised anatomical region, and management of complications, among other relevant aspects. Despite representing only a small portion of the population affected by problems related to PMMA injection into the face, the results serve as a knowledge base for a better understanding of these problems that are difficult to predict and treat. More studies are necessary to better clarify the complications and factors related to them.
REFERENCES
1. Urdiales-Gálvez F De cabo-Francés FM, Bové I. Ultrasound patterns of different dermal filler materials used in aesthetics. J Cosmet Dermatol. 2021;20(5):1541-8.
2. Urdiales-Gálvez F Delgado NE, Figueiredo V, Lajo-Plaza JV, Mira M, Moreno A, et al. Treatment of Soft Tissue Filler Complications: Expert Consensus Recommendations. Aesthetic Plast Surg. 2018;42(2):498-510.
3. Trinh LN, McGuigan KC, Gupta A. Delayed Complications following Dermal Filler for Tear Trough Augmentation: A Systematic Review. Facial Plast Surg. 2022;38(3):250-9.
4. Mundada P, Kohler R, Boudabbous S, Toutous Trellu L, Platon A, Becker M. Injectable facial fillers: imaging features, complications, and diagnostic pitfalls at MRI and PET CT. Insights Imaging. 2017;8(6):557-72.
5. Lemperle G, Gauthier-Hazan N, Wolters M, Eisemann-Klein M, Zimmermann U, Duffy DM. Foreign body granulomas after all injectable dermal fillers: part 1. Possible causes. Plast Reconstr Surg. 2009;123(6):1842-63.
6. Paulucci BP. PMMA Safety for Facial Filling: Review of Rates of Granuloma Occurrence and Treatment Methods. Aesthetic Plast Surg. 2020;44(1):148-59.
7. Machado RA, Oliveira LQ Martelli-Júnior H, Pires FR, Carvas JB, Rogerio VE, et al. Adverse reactions to the injection of face and neck aesthetic filling materials: a systematic review. Med Oral Patol Oral Cir Bucal. 2023;28(3):e278-84.
8. Blanco Souza TA, Colomé LM, Bender EA, Lemperle G. Brazilian Consensus Recommendation on the Use of Polymethylmethacrylate Filler in Facial and Corporal Aesthetics. Aesthetic Plast Surg. 2018;42(5):1244-51.
9. Souza RN, Mendoça SG, Alencar EC, França ALA, Araújo ÊG, Leite LAS. Late complication of cutaneous filling after a facelift: a case report. Rev Bras Cir Plást. 2016;31(2):269-72.
10. Singh K, Nooreyezdan S. Nonvascular Complications of Injectable Fillers-Prevention and Management. Indian J Plast Surg. 2020;53(3):335-43.
11. Pompeu M, Lima V, Magalhaes HL, Regattieri N, Costa IMC. Foreign body granuloma treatment with 22-MHz ultrasound-guided corticoid infiltration. J Cosmet Dermatol. 2019;18(3):908-9.
12. Durkin AJ, Catena D, Woltjen N, Boyle K, Polling M, Weng J, et al. Surgical Management of Polymethylmethacrylate-Collagen Gel Complications in the Lower Eyelid: A Case Series. Ann Plast Surg. 2023;90(1):12-8.
13. Goldman A, Wollina U. Intralesional Neodymium YAG laser to Treat Complications of Polymethylmethacrylate. Open Access Maced J Med Sci. 2018;6(9):1636-41.
14. Goldman A, Wollina U. Polymethylmethacrylate-induced nodules of the lips: Clinical presentation and management by intralesional neodymium: YAG laser therapy. Dermatol Ther. 2019;32(1):e12755.
15. Goldman A, Wollina U, Machado D, Marionwic D. Laser in the Treatment of Granulomas on the Nose Produced by Polymethylmethacrylate: A Case Series. J Drugs Dermatol. 2021;20(11):1161-6.
16. Piccolo D, Mutlag MH, Pieri L, Pennati BM, Conforti C, Bonan P. Novel Management of Granuloma Formation Secondary to Dermal Filler with Intralesional 1444 nm Nd:YAG Laser Technique. Medicina (Kaunas). 2023;59(8):1406.
17. Schelke LW, Decates TS, van der Lugt CIM, Pelzer L, de Mey G, Velthuis PJ. Intralesional Laser Treatment for Dermal Filler Complications. Plast Reconstr Surg. 2018;141(6):1361-9.
18. Freire de Carvalho J. Polyautoimmunity (Psoriasis, Sjogren’s syndrome, and autoimmune uveitis) following polymethylmethacrylate injection. Eur Rev Med Pharmacol Sci. 2021;25(6):2478-80.
19. Vengalil N, Council LM, Michalski BM. Foreign body granulomas to polymethylmethacrylate soft tissue filler following COVID-19 infection. JAAD Case Rep. 2023;41:1-3.
         1. Hospital São Lucas da PUCRS, Porto Alegre, RS, Brazil
         2. Pontifícia Universidade Católica do Rio Grande do Sul, Porto Alegre, RS, Brazil
         3. Universidade do Vale do Rio dos Sinos, São Leopoldo, RS, Brazil
Corresponding author: Alberto Goldman Av. Augusto Meyer 163, conj. 1203, Porto Alegre, RS, Brazil. Zip Code: 90.550-110, E-mail: alberto@goldman.com.br
Article received: November 11, 2023.
   Article accepted: April 30, 2024.
Conflicts of interest: none.
Institution: Hospital São Lucas da PUCRS; Clínica Goldman Cirurgia Plástica, Porto Alegre, RS, Brazil.

















Read in Portuguese
                    
Read in English
                    
PDF PT
                    
                    Print
                
                    Send this article by email
                
                    How to Cite
                
                    Mendeley
                
                    Pocket
                
                    Twitter