Original Article - Year 2026 - Volume 41Issue 1
Factors Influencing Medical Students' Decision to Undergo Aesthetic Plastic Surgery
Fatores que influenciam estudantes de medicina na decisão de se submeterem a cirurgias plásticas estéticas
ABSTRACT
Introduction The demand for plastic surgeries has increased among university students, especially in Brazil, which is the world leader in the number of these procedures. This scenario highlights the importance of understanding the factors that influence this decision.
Objective To identify the main factors that motivate medical students at the University of Rio Verde, Campus Aparecida de Goiânia - Extensão Goiânia, state of Goiânia, Brazil, to undergo aesthetic plastic surgeries.
Materials and Methods The present is an epidemiological, observational, crosssectional, descriptive study with a quantitative approach. The sample comprised 303 students, who responded to three instruments: a sociodemographic questionnaire, the Rosenberg Self-Esteem Scale, and a questionnaire on aesthetic desires and influences. Data were analyzed using descriptive statistics and binary logistic regression.
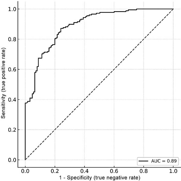
Results Most participants were female (68.98%) and aged between 21 and 25 years old (45.87%). Although 89.1% had never undergone plastic surgery, 58.75% expressed interest in doing so. The main predictors of surgical intention were: desire to improve appearance (odds ratio [OR] p < 23.5; p<0.001), female sex (OR=7.6; p<0.001), perception of professional benefit (OR=2.56; p<0.014), frequency of social media posts (OR=1.76; p<0.012), age (OR=1.12; p¼0.002), and low self-esteem (OR =1.14; p<0.001). The multivariate model showed excellent discriminatory power (area under the curve [AUC]=0.89).
Conclusion The decision to undergo aesthetic plastic surgery among medical students is multifactorial, being primarily influenced by aesthetic and sociocultural factors rather than self-esteem alone. The findings highlight the need to address body image and emotional health within academic environments.
Keywords: self concept, plastic surgery, social behavior, medical students, social media
RESUMO
Introdução A busca por cirurgias plásticas tem aumentado entre jovens universitá-rios, especialmente no Brasil, país que lidera mundialmente o número destes procedimentos. Tal cenário destaca a importância de compreender os fatores que influenciam esta escolha.
Objetivo Materiais e Métodos Estudo epidemiológico, observacional, transversal e descritivo, com abordagem quantitativa. A amostra foi composta por 303 acadêmicos que responderam a três instrumentos: questionário sociodemográfico, Escala de Autoes-tima de Rosenberg e questionário sobre desejos e influências estéticas. Os dados foram analisados por meio de estatística descritiva e regressão logística binária.
Resultados A maioria dos participantes era do sexo feminino (68,98%) e tinha entre 21 e 25 anos (45,87%). Embora 89,1% nunca tenham realizado cirurgia plástica, 58,75% demonstraram interesse. Os principais preditores da intenção cirúrgica foram: desejo de melhorar a aparência (razão de chances [RC] = 23,5; p < 0,001), sexo feminino (RC = 7,6; p < 0,001), percepção de benefício profissional (RC = 2,56; p = 0,014), frequência de postagens em redes sociais (RC = 1,76; p = 0,012), idade (RC = 1,12; p = 0,002) e baixa autoestima (RC = 1,14; p < 0,001). O modelo multivariado apre-sentou excelente poder discriminatório (área sob a curva [AUC] = 0,89).
Conclusão A decisão por cirurgias plásticas estéticas entre estudantes de medicina é multifatorial, sendo influenciada principalmente por fatores estéticos e socioculturais, mais do que apenas pela autoestima. Os achados destacam a necessidade de discutir imagem e saúde emocional acadêmica.
Palavras-chave: autoimagem; cirurgia plástica; comportamento social; estudantes de medicina; rede social
Introduction
Although beauty standards have existed since Ancient Greece, they are changeable and adaptable.1 The current standard consists of thin people with muscular definition,2 especially in Brazil, a tropical country with a worldwide stereotype of beautiful bodies. In the 21st century, the body has taken a central role in human life, mediating social relations and influencing people’s acceptance by peers with-in the same sociocultural context.3 Technological advances and mass communication, in particular through the internet, resulted in body images reaching more and more people, contributing to a standardization of beauty.4 Young people attribute a greater relevance to body image in society since this age group is developing their body image based on body recognition, contact, and the impact of society and culture.5 Moreover, the psychosocial instability resulting from enter-ing the university environment, including new social rela-tionships, greater independence from family, and adoption of new behaviors, makes young students vulnerable to societal pressures regarding bodily aspects.6 Self-perception influences interpersonal relationships, health, self-esteem, and well-being. Therefore, plastic surgery plays a significant role in the subject’s life as it directly impacts their self-image and societal interactions. The latest global survey by the International Society of Aesthetic Plastic Surgery (ISAPS),7 revealed that Brazil ranks first among countries performing the most plastic surgical procedures in 2023. Psychological and social factors, such as self-esteem and the influence of social media, have a strong relationship with the desire for aesthetic surgery. It is essential to understand how these elements impact patients’ overall well-being. In addition, plastic surgery can represent not only an aesthetic procedure but also a potential means of improving overall health, as the World Health Organization (WHO), since 1946, has defined health as a state of complete physical, mental, and social wellbeing, and not merely the absence of disease or illness.
Objective
The present study aimed to identify the key factors that motivate medical students at the Universidade de Rio Verde (UniRV), Aparecida de Goiânia Campus, Goiânia Extension, Goiânia, state of Goiás, Brazil, to undergo aesthetic plastic surgeries.
Materials and Methods
The present epidemiological, observational, cross-sectional, quantitative study included descriptive and analytical ele-ments. We collected data from online questionnaires created on the Google Forms platform. We selected this model to analyze the factors influencing young medical students to undergo aesthetic plastic surgery.
The research took place at the School of Medicine of UniRV, Aparecida de Goiânia Campus, Goiânia Extension, Goiânia, state of Goiás, Brazil. The study involved students of both genders, aged 2: 18 years old, enrolled from the 1st to the 12th semester of the Medical School. The initial sample consisted of 327 students, of whom 324 agreed to participate after signing the Informed Consent Form (ICF) (►Appendix I). After data processing, we analyzed 303 valid responses, considering the criteria of completeness and consistency of the variables used in the logistic regression.
The present study involved students 2: 18 years old who were enrolled in the Medical School and agreed to the ICF terms. We excluded participants who either did not formally consent or chose “I prefer not to respond” to any of the analyzed variables. We sent individual invitations to partici-pate via institutional academic emails, without using lists that would allow third parties to identify the students.
The research form consisted of three instruments. The first was a sociodemographic questionnaire (►Appendix II), containing 12 items, including age, gender, race, height, weight, income, and in which semester they were enrolled. The second instrument was the Rosenberg Self-Esteem Scale, which underwent translation into Portuguese and adapta-tion at Escola Paulista de Medicina, Universidade Federal de São Paulo, São Paulo, state of São Paulo, Brazil (►Appendix III),8 with 10 items evaluated on a four-point Likert scale. For this instrument, potential answers for statements 1, 3, 4, 7, and 10 had the following scores: strongly agree = 0, agree = 1, disagree = 2, and strongly disagree = 3. Meanwhile, po-tential answers for statements 2, 5, 6, 8, and 9 had the following scores: strongly agree = 3, agree = 2, disagree = 1, strongly disagree = 0. The final Rosenberg Self-Esteem Scale score ranges from 0 to 30, with higher values indicating lower self-esteem. The third instrument was the Question-naire on Desires, Yearnings, and Influences (►Appendix IV), consisting of eight items assessing aesthetic motivations, the influence of social media, and the frequency of digital expo-sure. Most questions have dichotomous answers (yes/no), except for question 6 (ordinal frequency scale) and question 2 (open-ended).
Statistical Analysis
We organized the data in Microsoft Excel (Microsoft Corpo-ration) and later exported it to jamovi statistical software (the jamovi project, 2023), version 2.3.21. Initially, we per-formed a descriptive analysis, calculating means, standard deviations, absolute and relative frequencies, and performed normality tests.
To assess the association between self-esteem and the intention to undergo aesthetic plastic surgery, we applied binary logistic regression. The dependent variable was the intention to undergo aesthetic plastic surgery, considering a dichotomous response (in which yes = 1 and no = 0) to the question “Do you want to undergo an aesthetic (or another) plastic surgery?”.
The initial analysis of self-esteem used a simple model and the reversed Rosenberg Scale (in which higher values indi-cate lower self-esteem). Next, we constructed a multivariate regression including the following covariates: self-esteem, gender (male/female), age (mean values of age groups), weight (mean values of weight groups), perceived profes-sional benefit of surgery, desire to improve appearance, desire to look like digital influencers, and frequency of social media posts.
We converted categorical variables to binary format (yes = 1, no = 0). We expressed the ordinal variable referring to the frequency of social media posts based on the estimated mean number of posts assigned to each response range: rarely (0.25), once a week (1), 2 to 3 times a week (2.5), 4 to 5 times a week (5), and daily (7). This approach allowed the inclusion of the variable as a continuous predictor in the multivariate analysis, based on the estimated equivalence of self-reported frequency. For categorical variables with miss-ing data, we applied point imputations based on the mode or point deletion. For continuous variables derived from ranges (such as age and weight), we used the mean values of the respective categories. This approach allowed the inclusion of all 303 participants in the multivariate analysis. The signifi-cance level adopted was p < 0.05. We reported the coeffi-cients (β), p-values, and odds ratios (ORs) with their respective 95% confidence intervals (95%CIs). We assessed the goodness-of-fit of the multivariate model using McFad-den’s pseudo R2 value. We evaluated the discriminatory capacity of the model using the receiver operating charac-teristic curve, calculating the area under the curve (AUC).
Ethical Aspects
The present study complied with the precepts of Resolution 466/2012 of the Brazilian National Health Council (CNS, in the Portuguese acronym), Ministry of Health, observing the following ethical aspects: submission of the project to the Research Ethics Committee of UniRV and requesting autho-rization for its conduction. The study began after obtaining approval under opinion number 6.775.431. Thus, we explained to the participants all procedures adopted during the research and their potential risks and benefits. Addition-ally, the study adhered to bioethical principles by valuing human dignity, freedom, and autonomy. We assured the participants that they could choose not to answer any questions.
The approach to the participants was respectful, clarifying the purpose of the study and the significance of their participation. We then informed the participants about data confidentiality and that the presentation of the results would occur at the end of the study.
The subjects authorized their voluntary participation in the research by signing the ICF (Appendix I), which ensured their right to withdraw their consent at any stage of the study without penalty. Moreover, we emphasized the importance of participants saving a copy of the form for later access to the contact details of the researchers and the Ethics Committee. We provided a link to the ICF to ensure participants could access it (https://forms.gle/yJ72HKU1hynZMVkUA). The ICF application was electronic, in compliance with Circular Letter No. 2/2021/CONEP/SECNS/MS. The ICF included the guarantees and rights provided for in CNS Resolutions No. 466 of 2012 and 510 of 2016.
Results
Sociodemographic Profile of Participants
We sent the questionnaire to 327 students and selected 303 students for the study after excluding 24 participants who did not meet the inclusion and statistical analysis criteria. ►Table 1 shows the sociodemographic profile of the 303 students included in the analysis. The sample was predominantly female (68.98%), with ages ranging from 21 to 25 years old (45.87%), and of white skin color (66.01%). More than half (52.81%) of the participants reported a family income > R$ 10,000.
| Variable | Category | n | % | 95%CI |
|---|---|---|---|---|
| Gender | Male | 94 | 31.02% | 25.81%-36.23% |
| Female | 209 | 68.98% | 63.77%-74.19% | |
| Body weight (kg) | 51-60 | 83 | 27.39% | 22.37%-32.41% |
| 61-70 | 93 | 30.69% | 25.50%-35.89% | |
| 71-80 | 65 | 21.45% | 16.83%-26.07% | |
| Age (years old) | 18-20 | 118 | 38.94% | 33.45%-44.43% |
| 21-25 | 139 | 45.87% | 40.26%-51.49% | |
| 26-30 | 21 | 6.93% | 4.07%-9.79% | |
| Self-reported skin color | White | 200 | 66.01% | 60.67%-71.34% |
| Brown | 91 | 30.03% | 24.87%-35.19% | |
| Black | 12 | 3.96% | 1.76%-6.16% | |
| Monthly family income | < R$ 5,000 | 23 | 7.59% | 4.61%-10.57% |
| R$ 5,001-10,000 | 68 | 22.44% | 17.74%-27.14% | |
| > R$ 10,000 | 160 | 52.81% | 47.18%-58.43% |
Abbreviation: CI, confidence interval.
Assessment of Self-Esteem and its Relationship with the Intention to Undergo Aesthetic Plastic Surgery
Analysis of the (reversed) Rosenberg Self-Esteem Scale revealed that low self-esteem had a statistically significant relationship with a greater intention to undergo aesthetic plastic surgery. The simple model, which considers only self-esteem as a predictor variable, showed that lower levels of self-esteem (higher scores on the reversed scale) had an association with a greater propensity to undergo aesthetic surgical procedures (β = 0.097; p < 0.001) (►Fig. 1). Howev-er, the pseudo R2 value (0.09) indicated that self-esteem alone explained only 9% of the variability in the decision to undergo plastic surgery.

When including covariates in the multivariate model, the intercept was negative and highly significant (β0 = - 8.58; p < 0.001). This indicates that, in the absence of any predis-posing factors (such as gender, low self-esteem, age, and aesthetic or professional motivations), the intention to undergo plastic surgery would be extremely unlikely. How-ever, when adjusting for other variables, self-esteem main-tained a statistically significant association (β = 0.137; p < 0.001), confirming that subjects with lower self-esteem remain more likely to undergo plastic surgery, even after adjustments (►Fig. 2).

Main Predictors of Intention to Undergo Plastic Surgery
Multivariate analysis (►Table 2) identified female gender as one of the most relevant predictors of surgical intention (β = 2.01; p < 0.001), with women being ~ 7.5 times more likely to express this desire compared with men. Age also demonstrated a statistically significant effect (β = 0.113; p = 0.001), indicating that, with each additional year, the chance of desiring cosmetic surgery increases by ~ 12%. However, the interpretation of this finding should be made with caution, considering that the sample consisted predom-inantly of young university students (21-25 years old), which may influence the direction and magnitude of this effect. Regarding the perceived career benefits of surgery (β = 0.942; p = 0.011), participants who believed that sur-gery could bring professional advantages were 2.56 times more likely to want to undergo the procedure. The desire to improve aesthetic appearance was the most strongly associ-ated factor with the intention to undergo plastic surgery (β = 3.158; p < 0.001), with an OR of 23.5, indicating that subjects motivated by aesthetic concerns were very likely to express this desire. The frequency of social media posts also presented a significant association with surgical intention (β = 0.563; p = 0.012), suggesting that the greater the digital engagement (frequent photo posting), the higher the pro-pensity for aesthetic surgery. This finding may reflect the indirect influence of social media on self-image and public exposure of the body.
| Variable | β | p-value | OR (95%CI) |
|---|---|---|---|
| Female gender | 2.01 | < 0.001 | 7.60 (4.12-14.03) |
| Age (years old) | 0.11 | 0.002 | 1.12 (1.04-1.20) |
| Self-esteem (reversed scale) | 0.13 | < 0.001 | 1.14 (1.07-1.22) |
| Perception of professional benefit | 0.94 | 0.014 | 2.56 (1.20-5.08) |
| Desire for appearance improvement | 3.15 | < 0.001 | 23.50 (8.91-56.83) |
| Frequency of social media posts | 0.563 | 0.012 | 1.76 (1.01-1.89) |
| Desire to look like digital influencers | - 0.078 | 0.82 | 0.93 (0.42-1.83) |
| Body weight (kg) | 0.008 | 0.66 | 1.01 (0.98-1.05) |
Abbreviations: CI, confidence interval; OR, odds ratio.
Other Factors with Marginal or Nonsignificant Effect
On the other hand, the desire to have a body similar to that of digital influencers (β = - 0.078; p = 0.824) did not show a significant association with surgery intention, indicating that this variable may reflect other factors already adjusted for in the model, such as self-esteem or social media use. Moreover, body weight (β = 0.008; p = 0.664) did not have a statistically significant effect on the desire to undergo plastic surgery.
Predictive Strength of the Model
The multivariate model presented a substantially better fit than the simple model, with a pseudo R2 value of 0.5. Furthermore, we evaluated the accuracy of the multivariate model using the ROC curve. The AUC value of 0.89 demon-strates excellent discriminatory capacity (►Fig. 3). This suggests that the main factors influencing the decision to undergo plastic surgery are external, including social expect-ations, gender pressures, age, and perceptions of personal and professional benefits.

Although low self-esteem is associated with a greater intention to undergo plastic surgery, its impact is less significant when compared with sociocultural factors. Ap-parently, the key influences for the decision to undergo cosmetic procedures are aesthetic-related social pressures, perceived professional benefits, and demographic aspects, such as gender and age. Future studies should investigate how various aspects of self-esteem and body dissatisfaction interact with these motivations, particularly in the context of social networks and the construction of body image in highly competitive careers.
Discussion
Sociodemographic Profile of Participants
The data from the present study resemble the sociodemo-graphic profile reported by Filho et al.,9 who also found a predominance of women (92.3%), white subjects (63.5%), and an income between 4 and 10 minimum wages (28.8%). These findings are consistent with the study by Rassi et al.,10 which reported a predominantly female (97.6%) and white popula-tion (26.9%), with a mean age of 35.31 years old (n = 501), and a mean income of R$ 7,341.69. The primary difference between the studies lies in the age range of participants; we focused on medical students, whereas the other studies examined subjects who had already undergone plastic surgery.
Age and Gender Influence
Female gender was one of the factors most strongly associ-ated with surgical intention, with women being 7.5 times more likely to desire the procedure compared with men (β = 2.01; p < 0.001). This finding is in line with the literature, which indicates that women often adopt beauty standards and experience heightened social pressure to conform to aesthetic norms.11,12
Age also demonstrated a statistically significant influence (β = 0.11; p = 0.001), with a 12% increase in surgical inten-tion for each additional year of age. However, this association should be interpreted with caution, since the sample was predominantly composed of young university students (21-25 years old). Studies suggest that, in this age group, media exposure and the impact of social media are particularly relevant factors.13 In contrast, in older subjects, the desire for rejuvenation may play a more prominent role.14
Self-Esteem and the Intention to Undergo Aesthetic Plastic Surgery
The results of our study indicate that the intention to undergo aesthetic plastic surgery is influenced by a combi-nation of psychological and social factors, with self-esteem playing a relevant, but not solely determining, role. This conclusion is corroborated by Aguiar et al.,15 who, in a qualitative study of women undergoing cosmetic proce-dures, observed that, although the surgery promoted an improvement in the perception of self-esteem, this was not the main motivation for it, reinforcing the idea that the surgical decision involves a broader context of social and individual expectations. Subjects with lower levels of self-esteem tend to have a greater intention to undergo cosmetic procedures (β = 0.13; p < 0.001), corroborating previous studies that highlight body dissatisfaction as an even stronger predictor than global self-esteem.14,16
However, the isolated contribution of self-esteem to surgical intention was modest (pseudo R2 = 0.05), which is in line with recent studies suggesting that internalization of beauty standards and dissatisfaction with specific body parts are more robust predictors of this desire.17
Furthermore, the present study is unique in that it ana-lyzed medical students, a group rarely investigated in re-search on surgical intention. Al-Bashaireh et al.18 found a strong association between negative body image and favor-able attitudes toward plastic surgery among female univer-sity students in the United Arab Emirates, suggesting that academic and cultural factors may influence perceptions of body image and the pursuit of cosmetic interventions.
Perception of Professional Benefits and Influence of Attractiveness
Another relevant finding was the perception that plastic surgery can bring professional benefits, which was associat-ed with a greater intention to undergo plastic surgery (β = 0.94; p = 0.011). The “beauty premium” concept sug-gests that attractive subjects are often seen as more compe-tent and enjoy better job market opportunities.19
This perception may be particularly relevant for medical students, whose careers involve high levels of public expo-sure and constant interaction with patients and colleagues. Furthermore, the desire for appearance improvement was the factor most strongly associated with plastic surgery intention (β = 3.15; p < 0.001), indicating that dissatisfaction with one’s own attractiveness is among the most robust predictors of this desire.11
The Role of Social Media and Digital Influencers
A Brazilian study from Portela et al.20 confirmed the influ-ence of social media on body image perception and intention to undergo plastic surgery. These authors revealed that 79.5% of medical students considered undergoing aesthetic proce-dures due to exposure to digital content. In our study, the frequency of social media posts was significantly associated with the intention to undergo plastic surgery (β = 0.563; p = 0.012), suggesting that students who post more frequent-ly are more likely to have surgical intentions. In contrast, the desire to look like digital influencers did not show a signifi-cant association (β = - 0.078; p = 0.824). This suggests that exposure behavior may be more determinant than the explicit idealization of digital aesthetics. These findings indicate that, despite the significance of the digital environ-ment, factors such as academic pressures and professional expectations may play a modulating role in the relationship between social media and surgical intention, especially among medical students. Still, it is worth considering that, as pointed out by Mironica et al.,21 chronic exposure to aesthetic content on social media can generate cumulative effects over time, gradually influencing the decision to undergo aesthetic interventions.
Study Limitations
As limitations, we highlight that the cross-sectional design adopted does not allow the establishment of causal relation-ships between the variables studied, confining the study to the identification of statistical associations. The sample, although large, is composed exclusively of students from a private institution in the state of Goiás, Brazil, with a predominance of high-income families, which may limit the generalization of the results to other academic popula-tions or sociocultural contexts. The primary outcome, the intention to pursue aesthetic plastic surgery, was based on self-reports, which may not reflect the participants’ actual future actions due to possible economic barriers, fluctuating opinions, or changing contexts. Furthermore, we did not include relevant psychosocial variables, such as localized body dissatisfaction, social comparison, or symptoms of body dysmorphic disorder, which can significantly impact the decision to undergo cosmetic procedures and deserve investigation in future studies.22
Conclusion
The results of the present study demonstrate that medical students’ decision to undergo aesthetic plastic surgery is influenced by sociocultural factors, self-esteem, and per-ceived professional benefits. Low self-esteem showed an association with a greater intention to undergo plastic surgery. However, this relationship became less significant when adjusted for other variables, suggesting that aesthetic and social expectations play a more decisive role. Women were more likely to undergo plastic surgery, and the percep-tion that the procedure could bring career benefits also proved to be a relevant factor. The desire to improve appear-ance was the main predictor of surgical intention, indicating that the pursuit of aesthetic procedures largely reflects social pressures and idealized beauty standards. Although social media plays a significant role in exposure to aesthetic stand-ards, the frequency of posts and the desire to look like digital influencers were not isolated determinants of surgical deci-sion-making, reinforcing the fact that multiple factors interact in this process. The present study contributes to understanding the factors that motivate medical students to consider aesthet-ic plastic surgery, highlighting the need for educational ini-tiatives and critical discussions about body image and aesthetic expectations. Therefore, plastic surgery should not be viewed negatively or stigmatized, but rather understood as a legiti-mate possibility, as long as the decision is based on genuine and conscious motivations. Educational strategies that focus on reflection about self-esteem, aesthetic standards, and social influence can empower students to make more balanced decisions that align with their well-being. Future studies with a longitudinal design and more diverse populations could deepen understanding of the factors that support the intention to undergo plastic surgery over time.
REFERENCES
1. Sena RMC, Nascimento EGC, Sena PRC, Jacob LMS, Mais EMC. A construção social do corpo: como a perseguição do ideal do belo influenciou as concepções de saúde na sociedade brasileira contemporânea. Mudanças. 2019;27(01):53-61
2. Kelley CC, Neufeld JM, Musher-Eizenman DR. Drive for thinness and drive for muscularity: opposite ends of the continuum or separate constructs? Body Image 2010;7(01):74-77. Doi: 10.1016/j.bodyim.2009.09.008
3. Miranda RF, Almeida TS, Oliveira TC, Souza CS, Abranches MV. REPRESENTAÇÃO CORPORAL ENTRE JOVENS UNIVERSITÁRIOS: BELEZA, SAÚDE E INSATISFAÇÃO NA VIVÊNCIA DE UM CORPOVITRINE. Rev Psi Divers Saúde 2017;6(04):258-269. Doi: 10.17267/2317-3394rpds.v6i4.1696 Disponível em: https://www5.bahiana.edu.br/index.php/psicologia/article/view/1696
4. Freitas CMSMd, Lima RBT, Costa AS, Lucena Filho A. O padrão de beleza corporal sobre o corpo feminino mediante o IMC. Rev Bras Educ Fis Esporte 2010;24(03):389-404. Doi: 10.1590/S1807-55092010000300010
5. Chagas LM, Ferreira NG, Hartmann V, Kümpel DA. Percepção da imagem corporal e estado nutricional de adolescentes. Rev Psicol IMED. 2019;11(02):69-78. Doi: 10.18256/2175-5027.2019.v11i2.3166
6. de Souza AC, Alvarenga Mdos SInsatisfação com a imagem cor-poral em estudantes universitários - Uma revisão integrativa. J Bras Psiquiatr 2016;65(03):286-299. Doi: 10.1590/0047-2085000000134
7. International Society of Aesthetic Plastic Surgery. Aesthetic/Cos-metic procedures performed in 2023. 2023 [cited 2024 Sep 8]. Disponível em: https://www.isaps.org/media/rxnfqibn/isaps-glo-bal-survey_2023.pdf
8. Dini GM, Quaresma MR, Ferreira LM. Adaptação Cultural e Vali-dação da Escala de Autoestima de Rosenberg. Rev Bras Cir Plást 2004;19:41-52
9. Moreira Filho HF, Bessa OADAC, Moreira NS. Autoestima e qualidade de vida em pacientes submetidos a cirurgia plástica. Rev Bras Cir Plást 2024;39(02):e0858. Doi: 10.5935/2177-1235.2024RBCP0858-PT
10. Rassi SP, Freitas-Júnior R, Costa ADM. Características sociodemo-gráficas, hábitos de vida e critérios do paciente para a escolha do cirurgião plástico. Rev Bras Cir Plást 2021;36(01):56-62. Doi: 10.5935/2177-1235.2021RBCP0011
11. Henderson-King D, Henderson-King E. Acceptance of cosmetic surgery: scale development and validation. Body Image 2005;2 (02):137-149. Doi: 10.1016/j.bodyim.2005.03.003
12. Pearlman RL, Wilkerson AH, Cobb EK, et al. Factors associated with likelihood to undergo cosmetic surgical procedures among young adults in the United States: a narrative review. Clin Cosmet Investig Dermatol 2022;15:859-877. Doi: 10.2147/CCID.S358573
13. Walker CE, Krumhuber EG, Dayan S, Furnham A. Effects of social media use on desire for cosmetic surgery among young women. Curr Psychol 2021;40:3355-3364. Doi: 10.1007/s12144-019-00282-1
14. Sarwer DB. Body image, cosmetic surgery, and minimally invasive treatments. Body Image 2019;31:302-308. Doi: 10.1016/j.bodyim.2019.01.009
15. De Aguiar KGM, de Sousa JA. Cirurgia plástica estética em mulheres e autoestima: um estudo qualitativo. Rev Psi Divers Saúde. 2023;12:1-11. Doi: 10.17267/2317-3394rpds.2023.e5277e5277 Disponível em: https://www5.bahiana.edu.br/index.php/psicologia/article/view/5277
16. Nerini A, Matera C, Di Gesto C, Policardo GR, Stefanile C. Exploring the links between self-compassion, body dissatisfaction, and acceptance of cosmetic surgery in young Italian women. Front Psychol 2019;10:2698. Doi: 10.3389/fpsyg.2019.02698
17. Wu Y. Say no to the knife! An investigation of Chinese and Dutch women’s consideration of cosmetic surgery and how to intervene [dissertation]. Maastricht (NL): Maastricht University; 2022. Doi: 10.26481/dis.20221115yw
18. Al-Bashaireh AM, Aljawarneh Y, Alkouri O, et al. Body image and attitudes toward cosmetic surgeries among female college stu-dents in the United Arab Emirates: A cross-sectional study. Heliyon 2025;11(02):e42027. Doi: 10.1016/j.heliyon.2025.e42027
19. Dossinger K, Wanberg CR, Choi Y, Leslie LM. The beauty premium: the role of organizational sponsorship in the relationship bet-ween physical attractiveness and early career salaries. J Vocat Behav 2019;112:109-121. Doi: 10.1016/j.jvb.2019.01.007
20. Portela MVV, da Silva YFA, Dutra MCMF, Lages MKAB, Holanda TA, Almeida IP. Análise da influência das redes sociais na busca por procedimentos cosméticos entre acadêmicos de medicina. Braz J Hea Rev. 2023;6(06):30040-30052. Doi: 10.34119/bjhrv6n6-266 Disponível em: https://ojs.brazilianjournals.com.br/ojs/index.php/BJHR/article/view/65187
21. Mironica A, Popescu CA, George D, Tegzeşiu AM, Gherman CD. Social media influence on body image and cosmetic surgery considerations: a systematic review. Cureus 2024;16(07): e65626. Doi: 10.7759/cureus.65626
22. Rodrigues LF, de Souza RE Junior, Balbino JC, et al. Prevalência do Transtorno Dismórfico corporal em pacientes candidatos e/ou submetidos a procedimentos estéticos na especialidade de cirur-gia plástica: uma revisão sistemática. Braz J Desenvolver 2023;9 (05):16889-16901. Doi: 10.34117/bjdv9n5-159
1. School of Medicine, Universidade de Rio Verde, Campus Aparecida - Extensão Goiânia,
Goiânia, GO, Brazil
Address for correspondence Vinicius Barbieri Da-Silveira, Universidade de Rio Verde - Campus Aparecida - Extensão Goiânia, Goiânia, GO, Brazil (e-mail: viniciusbarbieri7@gmail.com vinicius.b.silveira@academico.unirv.edu.br).
Article received: January 08, 2025.
Article accepted: July 14, 2025.
Conflict of Interests
The authors have no conflict of interests to declare.








Read in Portuguese
Read in English
PDF PT
Print
Send this article by email
How to Cite
Mendeley
Pocket
Twitter